Підуть «під ніж». Транспортна компанія списує 16 трамваїв та тролейбусів
- «Вінницька транспортна компанія» отримала дозвіл від виконкому на списання низки тролейбусів та трамваїв.
- У переліку, зокрема, є «Карпфени» та «Трами» зі Швейцарії й ЗіУ радянської доби.
- Усі агрегати та вузли, які придатні для використання знімуть, а залишок здадуть на брухт.
Про це дізналися з рішень №2772 та №2773.
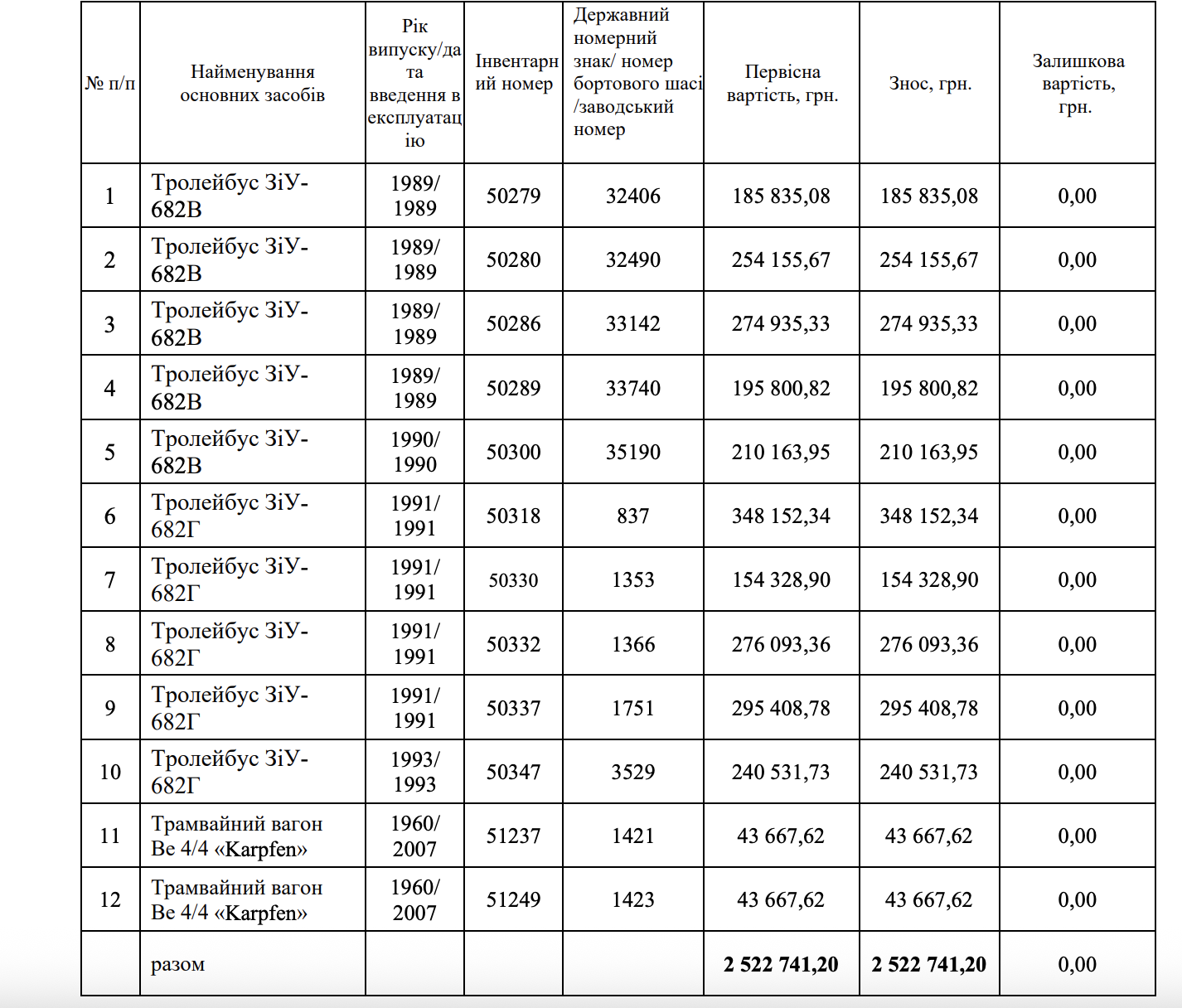
Своїми рішеннями виконком міськради дозволив транспортникам списати з балансу основні засоби. Придатні для подальшого використання вузли та агрегати зняти, все інше — здати на брухт. Кошти, які надійдуть від цього — використовувати на цілі транспортної компанії, зокрема на ремонтно-відновлювальні роботи.
Так от, списують десять тролейбусів. Це ЗіУ-682В 1989 – 1991 років випуску. За даними порталу «Міський електротранспорт» тільки один з цих тролейбусів працював на лінії до недавнього часу. Решта були законсервовані та очікували на списання.

Окремо списують шість трамвайних вагонів. Зокрема, два швейцарські трамваї Karpfen. Ці 65-річні вагони були прийняті на баланс підприємства у 2007 році. Обидва вагони були виведені з експлуатації та очікували на списання.

А ще списують чотири трамваї Tram 2000, які так і не їздили по коліях нашого міста. Ці вагони швейцарці передавали «Вінницькій транспортній компанії» як донорів запчастин, тому їх від початку не планували випускати на лінії у Вінниці.
Раніше, нагадаємо, у Вінниці почали випробовування першого низькопідлогового трамвая Tram-2000.
Читайте також:
Скільки коштує проїзд у Вінниці та сусідніх обласних центрах. Порівнюємо
Вінниця отримала безплатно 47 трамваїв з Цюриха. На їх модернізацію витрачають мільйони
Придатне лишити, все інше — на брухт. Транспортна компанія списує 19 трамваїв та тролейбусів
Слідкуйте за новинами Вінниці у Telegram.
-
Анатолій СлободянюкЗнову хтось ''підлатається''!!! -
Лидия Витвицкая-ОкаевичШвейцарські 'трами' норм працюють... -
Руслан АльоА 358 тролейбус яким чином пішов під ніж?