Вінничани пропонують передати списані тролейбуси у деокуповані міста. Чи можна так зробити?
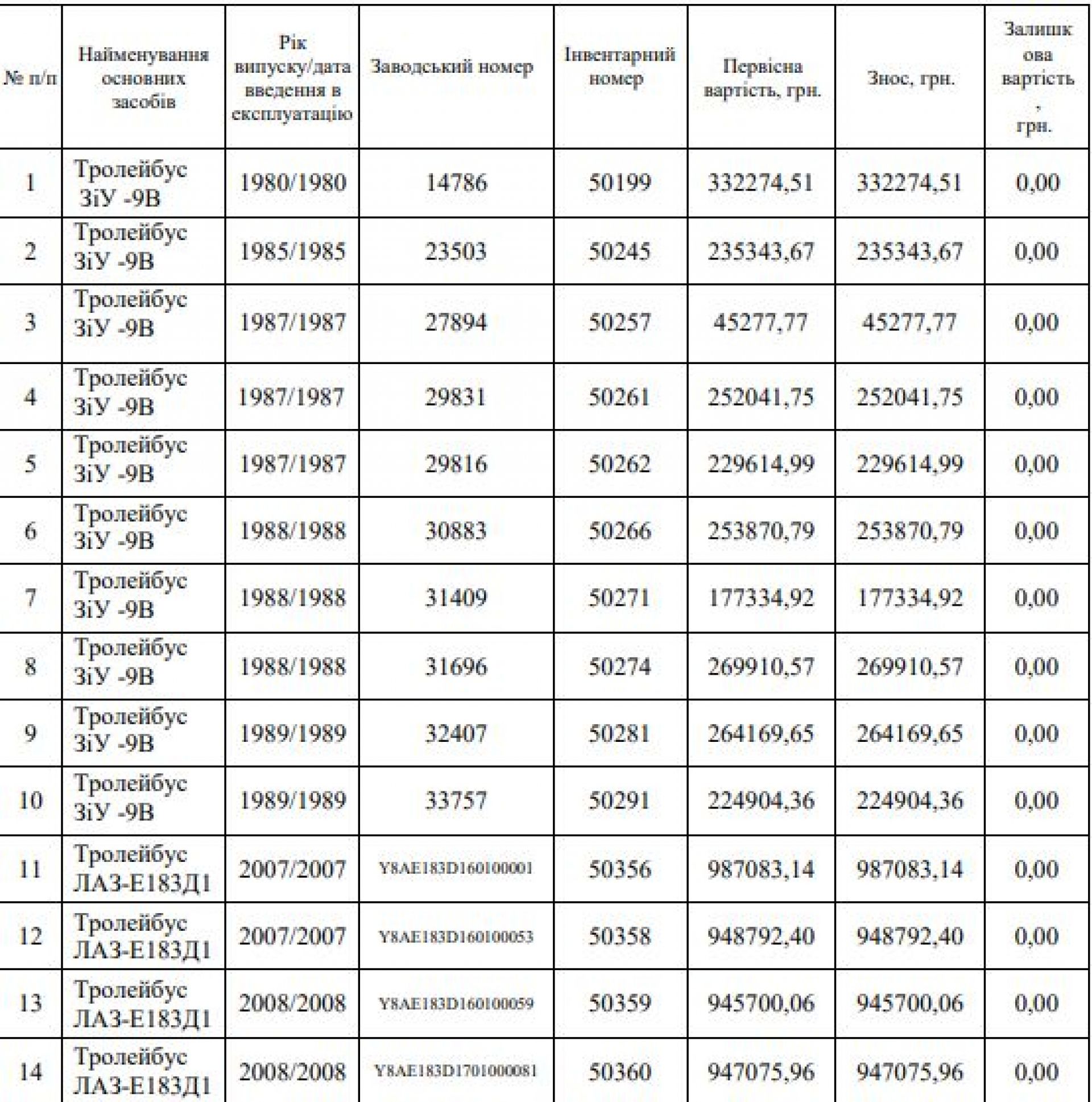
- Наприкінці квітня виконком міської ради 14 тролейбусів, найстарші з них 1980 року випуску.
- Після рішення виконкому на сайті електронних петицій з'явилося звернення від вінничанина з пропозицією списані тролейбуси зберегти для відправки у деокуповані міста.
- Ми дізналися, чи можливо та раціональна так зробити?
У Вінниці позбудуться частини тролейбусів, зокрема 27 квітня виконком міської ради дозволив «Вінницькій транспортній компанії» списати 14 тролейбусів. Про це дізнаємося з рішення. Найстарший тролейбус, який списують, це ЗіУ-9В. Він 1980 року виписку. А наймолодший зі списаних — ЛАЗ-Е183Д1, він був введений в експлуатацію у 2008 році.
Виконком прийняв рішення, щоб КП «Вінницька транспортна компанія» придатні для подальшого використання вузли і агрегати оприбуткувала в установленому законом порядку, а непридатні — треба здати в металобрухт.
Після публікації документа-рішення щодо списання тролейбусів, на сайті електронних петицій з'явилося звернення, в якому вінничанин Владислав Бондар пропонує зберегти цей транспорт для відправки у деокуповані міста.
«Найближчим часом ЗСУ вийде на кордони 1991 року і будуть деокуповані міста, де існує тролейбусний рух. Після деокупації в цих містах кожна одиниця рухомого складу буде "на вагу золота". Якщо серед списаних тролейбусів немає жодного на ходу, то, можливо, вони могли б бути як донори. Прошу переглянути це рішення виконкому з урахуванням цієї пропозиції», — пропонує вінничанин.

Нагадаємо, із жовтня 2022 року Вінниця стала містом-другом для звільненої Балаклії, і ми відправили цьому місту два автобуси, окрім іншої допомоги. Цей транспорт Вінниця отримала від польського міста-побратима Кельце.
Ми запитали у начальника тролейбусного депо Олександра Любивого, в якому стані списані 14 тролейбусів? Та чи можливо їх відновити та відправити у деокуповані міста?
— Ці тролейбуси не можуть бути гідно представлені у деокупованих містах. Чи можливо ці тролейбуси відновити? Теоретично так, але ця дія та витрачені кошти не будуть раціонально використані. Бо ці тролейбуси проїхали більше, ніж два мільйони кілометрів, їм 36 років. Що будуть ті міста робити з цими тролейбусами? — каже Олександр Любивий. — Міська рада прийняла рішення про списання цих тролейбусів, і вони будуть ліквідовані, як одиниці. Їхні запчастини підуть на відновлення рухомого складу, який залишився. А частину здадуть на металобрухт. А з приводу передачі в інші міста, то у нас є 20 інших тролейбусів, які ми готові передати, але поки зацікавлених сторін немає. У нас були представники деокупованих міст, дивилися на них, але поки рішення жодного не прийняли.
Читайте також:
ТОП важливих новин на 20minut.ua від 1 по 8 травня, які ви могли пропустити
Порівняли зарплати у Вінниці та сусідніх містах: як вони змінилися за рік?
Слідкуйте за новинами Вінниці у Telegram.
-
Саша ПапкаНавіщо ж так не по людськи, деокуповані міста і так багато пережили під русфашизмом, так ми їм тепер ще й тролейбуси 80-х років! -
Богдан ДеркачЩо і потрібно було доказати. Поки ніхто не буде зацікавленим в прицняті тролейбусів, ще й такого віку, то діла не буде -
Viktoria StolyarchukТо вже не тролейбуси!То брухт! -
Тетяна ПоплавськаЦе не гарно.Їм виділяють гроші на розбудову закордон. Хай в них все буде новеньке.
Ігор Костюк reply Тетяна ПоплавськаТетяна Поплавська а скільки виділили? Поки не буде повного моніторингу,кошторису - гроші ніхто не виділить,а поки краще щось,чим нічого. ,,Закордон" просто так нічого не дасть,бо є дуже паршиві приклади допомоги і попереднім і теперішнім урядам- крадуть.