«Муніципальне житло» буде на Старому місті. Відома вартість квартир

«Муніципальне житло» буде на Старому місті. Відома вартість квартир
Інна Лобочук купила житло у домі на Петра Запорожця, 4. На жеребкуванні їй дісталася двокімнатна квартира на сьомому поверсі. Фото: архів "20хвилин"
  • У мерії визначилися з наступним об’єктом програми «Муніципальне житло», за якою зводять нерухомість за доступною ціною для пільговиків, молоді та бюджетників
  • Це буде десятиповерхівка на 80 квартир, яку побудують поблизу лікарні №3
  • Яка буде ціна квадратного метра та як взяти участь в програмі?

Програма міського житла за доступними цінами діє з 2009 року і за нею отримали квартири понад 2000 вінничан. Це, в першу чергу, бюджетники, молодь. А після початку АТО (нині ООС - авт.) першочергове право придбати квартири мають й АТОвці.

Новий дім будують на Старому місті — на місці недобуду по Маяковського, 138. І у міськраді визначилися з вартістю житла — 10 390 грн за м². Це досі одна з найнижчих цін на нерухомість у Вінниці.

І вже можна зареєструватися на участь в програмі. Хоча є певні умови, через які придбати муніципальне житло зможе не кожна людина

Звели шість об’єктів

Програма «Муніципальне житло» діє з 2009 року. І з того часу звели п’ять об’єктів — багатоповерхівки на Вишеньці, у Військовому містечку та Замості.

«Муніципальне житло» буде на Старому місті. Відома вартість квартир, фото №1 на сайті 20minut.ua

Останній об’єкт здали в лютому цього року — дім на 80 квартир, що знаходиться на вулиці Петра Запорожця.

«Муніципальне житло» буде на Старому місті. Відома вартість квартир, фото №2 на сайті 20minut.ua

Сергій Бабічев придбав двокімнатну квартиру за цією програмою на сьомому поверсі дому на Петра Запорожця

— Ціна на квадратні метри дуже гарна (9800 грн за м²- авт.). Це найдешевше у місті нове житло. А потім подивилися на якість та умови, що пропонують - і одразу погодилася на участь в програмі «Муніципальне житло». У домі автономне опалення, є зовнішнє утеплення, вже стоять усі лічильники, добрий ремонт, — казав хлопець під час вручення ключів від квартири.

Там же тепер будують ще один пусковий комплекс — дім на 92 квартири. Його планують здати повністю до 30 грудня 2018 року.

Директор департаменту економіки та інвестицій Віталій Погосян розказав, що у 2018-му розпочнуть будівництво ще одного будинку на Старому місті.

Про нову ціну

На сайті міської ради виклали нову інформацію щодо майбутнього будинку в програмі. Шостий об’єкт «Муніципального житла» зведуть поблизу лікарні №3. Він знаходиться на вулиці Маяковського, 138, що на Старому місті. З 2000-х років там стоїть недобудова.

«Муніципальне житло» буде на Старому місті. Відома вартість квартир, фото №3 на сайті 20minut.ua

Якщо минулі об’єкти будувало держпідприємство Міністерства оборони «Вінницьке інженерно-будівельне управління», то цей зводитиме товариство «Будмонтажпроект».

А ще міські чиновники підняли вартість квадратного метру в муніципальному житлі. Якщо на Петра Запорожця, 4 «квадрат» коштував 9800 гривень, то у майбутньому домі на Маяковського — 10 930 гривень за м².

За інформацією порталу DOM.RIA така ціна є нижче ринкової. У Вінниці житло можна придбати при середній вартості 11-12 тисяч гривень за «квадрат».

Які квоти на квартири

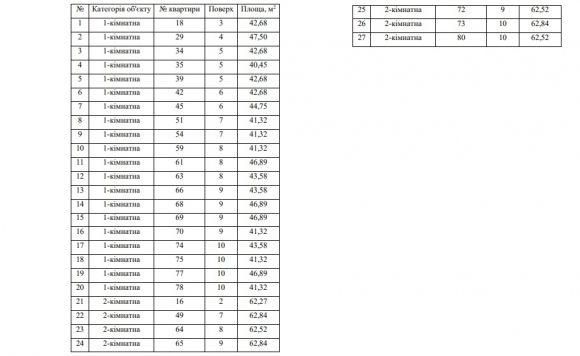
На Маяковського зведуть десятиповерхівку, в якій буде 80 квартир. На сайті міської ради виклали рішення, за яким стало відомо скільки на кого розподілять квартир:

Для осіб з інвалідністю 1-ої групи дадуть чотири однокімнатних квартир та одну двокімнатну на першому поверсі

«Муніципальне житло» буде на Старому місті. Відома вартість квартир, фото №4 на сайті 20minut.ua

Для родин АТОвців — три однокімнатні та дві двокімнатні квартири між першим та четвертим поверхом будинку

«Муніципальне житло» буде на Старому місті. Відома вартість квартир, фото №5 на сайті 20minut.ua

Для бюджетників та працівників комунальних підприємств — 23 однокімнатні та 7 двокімнатних квартир між першим та десятим поверхом.

«Муніципальне житло» буде на Старому місті. Відома вартість квартир, фото №6 на сайті 20minut.ua

Для інших категорій — 27 квартир між першим та десятим поверхом.

«Муніципальне житло» буде на Старому місті. Відома вартість квартир, фото №7 на сайті 20minut.ua

Крім того, 13 квартир між першим та восьмим поверхами, отримує на продаж управитель Фонду фінансування будівництва, який є виконавцем програми «Муніципальне житло».

«Муніципальне житло» буде на Старому місті. Відома вартість квартир, фото №8 на сайті 20minut.uaЯк придбати квартиру

Для купівлі муніципальної квартири є певні умови: людина має бути в одній з категорій пільговиків, право купити квартиру визначається на жеребкуванні.

«Муніципальне житло» буде на Старому місті. Відома вартість квартир, фото №9 на сайті 20minut.ua

Порядок жеребкування складається з двох етапів: перший визначають людей, що отримають квартири, а другий етап — поверх, кількість кімнат та номер квартири. Детально про порядок за цим посиланням.

Щоправда, є виключення: люди з інвалідністю отримують квартири тільки на 1-ому поверсі муніципальних будинків.

Потім потрібно сплатити перший внесок — 30% від вартості житла, а далі платити рівними частинами. Або взяти іпотеку від «Укргазбанку»: розміром до 1,5 мільйона гривень і строком на погашення до 20 років.

Але перед усім цим потрібно подати заявку на «Муніципальне житло».

Початок реєстрації буде 11 червня. Останні заявки прийматимуть до 2 липня. Документи на участь потрібно подавати на робоче місце №37 в «Прозорому офісі», що знаходиться на Соборній, 59.

Довідки, ознайомлення з параметрами квартир тощо можна за такими контактами:

  • «Прозорий офіс» (Соборна, 59), роб. місце 37;
  • Муніципальний  фонд управління та фінансування будівництва  (Соборна, 64, оф. 2, 4-й поверх). Телефони: (0432) 69-99-03, (068) 642-83-80, (095) 474-38-34, (093) 041-38-14.

Читайте також:

  • Квартири за півціни. Де купити дешеве та пристойне житло?
  • На Замості звели муніципальний будинок. Ціна за «квадрат» — 9800 гривень
  • «Доступне житло» знову діє. Як це працює та куди звертатися
Подякуй журналісту гривнею icon Подякуй журналісту гривнею
Валерій ЧУДНОВСЬКИЙ
Валерій ЧУДНОВСЬКИЙ - автор цього матеріалу. Ви можете подякувати йому та надихнути на нові корисні матеріали
Закинути на Банку

Слідкуйте за новинами Вінниці у Telegram.

Коментарі (5)
  • Тетяна Кандиба
    це афера
  • Читательница
    За 11000 за кв.м можно купить улучшеную малосемейку в новостройках Вишневого, Бучи, а иногда и в черте Киева. Только зарплаты у нас и там разные. Разводят как котят этим мунципальным
    1234 reply Читательница
    Можно ссылку на новостройки в Киеве с такой-же ценой квадратного места ?
    Igor reply 1234
    https://novostroyki.lun.ua/жк-семейный-комфорт-винница
    Igor reply 1234
    https://novostroyki.lun.ua/жк-city-lake-шевченково

    https://novostroyki.lun.ua/все-новостройки-киева?suburb_check=true&is_available=true&min_price_sqm=4000&max_price_sqm=10000&min_full_price=400000&max_full_price=4000000

keyboard_arrow_up