Прогноз: 14 травня буде від 16 до 27 тисяч хворих Covid-19 (у Вінниці — понад 784)
- Три тижні тому ми вже дали перший (і дуже влучний) прогноз: «В Україні 24 квітня буде від 8 тисяч хворих, у Вінниці — понад 480».
- Ось факт: станом на ранок 25 квітня в Україні 8125 хворих, у Вінницькій області — 377.
- Про те, що в Вінниці виявляють COVID-19 у 60% тестованих, а в середньому по Україні — у 34% — піде річ в окремій статті. Це може говорити про недостатню кількість тестувань саме на Вінниччині.
Автори:
Олександр Човган, RIA, заслужений журналіст України
Павло Кулаков, доктор технічних наук, професор
Отже, результат наших нових розрахунків:
14 травня буде від 16 до 27 тисяч хворих Covid-19 (а у Вінниці — понад 784). Ці цифри дуже важливо знати і читачам, і владі — для забезпечення вінничан койкомісцями та медикаментами.
Слід відзначити, що вказані цифри не є границями, у яких буде знаходитись кількість інфікованих! 16 та 27 тисяч — це два незалежних прогнози, оптимістичний та песимістичний. Оптимістичній — якщо будемо дотримуватись вимог карантину, песимістичний — якщо ні.
Динаміка в Україні схожа на сусідську польську, навіть перший випадок був зареєстрований в один і той же день. Тенденція захворюваності випереджає нашу на 9 днів, що дозволяє вважати, що з різницею в 9 днів в Україні буде повторюватися польське число хворих. Це, на нашу думку, найбільш реальний сценарій.
З іншого боку Україна може віддалитися від польського сценарію і до 4-5 травня наздогнати Польщу за кількістю підтверджених випадків. До цього є невеликі передумови, які пов'язані з трохи більшим нахилом кривої захворюваності в нашій країні.
Тим не менше, в Україні не буде різкого сплеску захворюваності: ні за негативним, ні за позитивним сценарієм. Нам вдалося уникнути таких проблем, як в Іспанії, Італії і США.
За допомогою декількох загальновідомих стандартних методик ми екстраполювали залежності, які відображають кількість випадків захворювання в Польщі та Україні. Слід відзначити, що наведені результати не є результатами наукового дослідження в галузі медицини, вони являють собою виключно результати статистичної обробки даних.
Нижче ми опишемо яким чином були розраховані оптимістичний та песимістичний прогнози (для залучення широкої аудиторії експертів, які можуть покращити наші розрахунки — в коментарях та інших чином). За нашими розрахунками, на 14 травня будемо матимемо в Україні у найкращому випадку 16 тисяч, у найгіршому — до 27 тисяч хворих.
Якщо сьогодні в Вінниці приблизно 4,9% від всієї кількості хворих в Україні, при рівні госпіталізації 30%, у нас вже на початку травня має бути готово щонайменше 784*0.3= 235 койкомісць. Це на 100 більше ніж було 3 тижні тому. Якщо сценарій буде песимістичний, необхідно 27000*0.049*0.3= 397 койкомісць станом на 14 травня.
397 (!).
Ось наш прогноз на наступні три тижні:
Позитивний та негативний сценарії
(графік побудований 23 квітня)

| Дата | Польща: факт і прогноз | Україна: позитивний сценарій | Україна: негативний сценарій |
| 04.03.2020 | 1 | 1 | 1 |
| 05.03.2020 | 1 | 1 | 1 |
| 06.03.2020 | 1 | 1 | 1 |
| 07.03.2020 | 5 | 1 | 1 |
| 08.03.2020 | 6 | 1 | 1 |
| 09.03.2020 | 11 | 1 | 1 |
| 10.03.2020 | 17 | 1 | 1 |
| 11.03.2020 | 22 | 1 | 1 |
| 12.03.2020 | 31 | 1 | 1 |
| 13.03.2020 | 49 | 3 | 3 |
| 14.03.2020 | 68 | 3 | 3 |
| 15.03.2020 | 104 | 3 | 3 |
| 16.03.2020 | 125 | 3 | 3 |
| 17.03.2020 | 177 | 5 | 5 |
| 18.03.2020 | 238 | 14 | 14 |
| 19.03.2020 | 287 | 19 | 19 |
| 20.03.2020 | 355 | 26 | 26 |
| 21.03.2020 | 425 | 26 | 26 |
| 22.03.2020 | 536 | 41 | 41 |
| 23.03.2020 | 634 | 47 | 47 |
| 24.03.2020 | 749 | 73 | 73 |
| 25.03.2020 | 901 | 84 | 84 |
| 26.03.2020 | 1 051 | 113 | 113 |
| 27.03.2020 | 1 221 | 156 | 156 |
| 28.03.2020 | 1 389 | 218 | 218 |
| 29.03.2020 | 1 638 | 311 | 311 |
| 30.03.2020 | 1 862 | 418 | 418 |
| 31.03.2020 | 2 055 | 480 | 480 |
| 01.04.2020 | 2 311 | 549 | 549 |
| 02.04.2020 | 2 554 | 794 | 794 |
| 03.04.2020 | 2 946 | 804 | 804 |
| 04.04.2020 | 3 383 | 987 | 987 |
| 05.04.2020 | 3 627 | 1 096 | 1 096 |
| 06.04.2020 | 4 102 | 1 251 | 1 251 |
| 07.04.2020 | 4 413 | 1 319 | 1 319 |
| 08.04.2020 | 4 848 | 1 462 | 1 462 |
| 09.04.2020 | 5 205 | 1 668 | 1 668 |
| 10.04.2020 | 5 575 | 1 892 | 1 892 |
| 11.04.2020 | 5 955 | 2 203 | 2 203 |
| 12.04.2020 | 6 356 | 2 511 | 2 511 |
| 13.04.2020 | 6 674 | 2 777 | 2 777 |
| 14.04.2020 | 6 934 | 3 102 | 3 102 |
| 15.04.2020 | 7 202 | 3 372 | 3 372 |
| 16.04.2020 | 7 582 | 4 161 | 4 161 |
| 17.04.2020 | 7 918 | 4 462 | 4 462 |
| 18.04.2020 | 8 379 | 5 106 | 5 106 |
| 19.04.2020 | 8 742 | 5 449 | 5 449 |
| 20.04.2020 | 9 287 | 5 710 | 5 710 |
| 21.04.2020 | 9 593 | 6 125 | 6 125 |
| 22.04.2020 | 9 856 | 6 592 | 6 592 |
| 23.04.2020 | 10 169 | 7 170 | 7 170 |
| 24.04.2020 | 10 928 | 7 202 | 7 859 |
| 25.04.2020 | 11 377 | 7 582 | 8 478 |
| 26.04.2020 | 11 831 | 7 918 | 9 129 |
| 27.04.2020 | 12 289 | 8 379 | 9 812 |
| 28.04.2020 | 12 753 | 8 742 | 10 528 |
| 29.04.2020 | 13 221 | 9 287 | 11 279 |
| 30.04.2020 | 13 694 | 9 593 | 12 063 |
| 01.05.2020 | 14 171 | 9 856 | 12 883 |
| 02.05.2020 | 14 651 | 10 169 | 13 739 |
| 03.05.2020 | 15 136 | 10 928 | 14 632 |
| 04.05.2020 | 15 623 | 11 377 | 15 563 |
| 05.05.2020 | 16 114 | 11 831 | 16 532 |
| 06.05.2020 | 16 608 | 12 289 | 17 540 |
| 07.05.2020 | 17 105 | 12 753 | 18 588 |
| 08.05.2020 | 17 604 | 13 221 | 19 677 |
| 09.05.2020 | 18 105 | 13 694 | 20 808 |
| 10.05.2020 | 18 609 | 14 171 | 21 981 |
| 11.05.2020 | 19 114 | 14 651 | 23 196 |
| 12.05.2020 | 19 621 | 15 136 | 24 456 |
| 13.05.2020 | 20 129 | 15 623 | 25 760 |
| 14.05.2020 | 20 639 | 16 114 | 27 110 |
Але всі ці цифри будь-якого з сценаріїв можуть дуже зрости, якщо ми знову почнемо активно соціалізуватися і збиратися в величезні кампанії, смажити шашлики, ходити без масок і засобів дезінфекції. Тому продовжуйте дотримуватися рекомендацій МОЗ і тоді цифри не будуть рости занадто швидко.
Як ми рахували?
Для розрахунків ми використовували онлайн-калькулятор і відповідні вирази у Google Sheets, як і в минулий раз використовували апроксимацію даних з подальшою екстраполяцією отриманої залежності. Нагадаємо, яким чином ми здійснювали прогноз.
Будемо вважати, що x - порядковий номер дня спостереження, а y — кількість випадків. Візьмемо теоретичну ситуацію, де x = 1, 2, 3, 4, 5, 6, 7, 8, 9, 10, відповідно y = 1, 4, 9, 16, 25, 36, 49, 64, 81, 100.
Ця залежність якісно описується квадратичною регресією:

Як видно коефіцієнт кореляції і коефіцієнт детермінації дорівнює 1, а середня помилка апроксимації 0%.
Коефіцієнт кореляції — це статистичний показник залежності двох випадкових величин. Коефіцієнт кореляції може приймати значення від -1 до +1. При цьому, значення -1 говоритиме про відсутність кореляції між величинами, 0 — про нульовий кореляції, а +1 — про повну кореляції величин. Тобто, чим ближче значення коефіцієнта кореляції до +1, тим сильніше зв'язок між двома випадковими величинами.
Коефіцієнт детермінації характеризує дисперсію результативної ознаки y. Значення коефіцієнта детермінації 1 означає функціональну залежність між змінними. Моделі з коефіцієнтом детермінації вище 80% можна вважати адекватними.
Середня помилка апроксимації. Цього разу зупинимося на середньої помилку апроксимації більш докладно, так як в цей раз нам доведеться її використовувати частіше. Вона являє собою відносне середнє відхилення розрахункових значень від фактичних, виражене у відсотках.
Щоб мати загальне судження про якість моделі з відносних відхилень по кожному спостереженню, визначають середню помилку апроксимації як середню арифметичну приросту:

Помилка апроксимації в межах 5 - 7% свідчить про якісний підбір моделі до вихідних даних. Допустимий межа значень А — не більше 8-10% (допускається 8-15%).
Україна та Польща. Минулого разу ми вважали, що динаміка захворюваності в Україні більше схожий на іспанський сценарій. Однак ця модель не виправдала себе. Цього разу ми порівнюємо Україну і Польщу. Дійсно, динаміка у цих країн дуже схожа. І навіть перший випадок зареєстрований в один і той же день.
|
Дата |
Польща |
Україна |
|
04.03.2020 |
1 |
1 |
|
05.03.2020 |
1 |
1 |
|
06.03.2020 |
1 |
1 |
|
07.03.2020 |
5 |
1 |
|
08.03.2020 |
6 |
1 |
|
09.03.2020 |
11 |
1 |
|
10.03.2020 |
17 |
1 |
|
11.03.2020 |
22 |
1 |
|
12.03.2020 |
31 |
1 |
|
13.03.2020 |
49 |
3 |
|
14.03.2020 |
68 |
3 |
|
15.03.2020 |
104 |
3 |
|
16.03.2020 |
125 |
3 |
|
17.03.2020 |
177 |
5 |
|
18.03.2020 |
238 |
14 |
|
19.03.2020 |
287 |
19 |
|
20.03.2020 |
355 |
26 |
|
21.03.2020 |
425 |
26 |
|
22.03.2020 |
536 |
41 |
|
23.03.2020 |
634 |
47 |
|
24.03.2020 |
749 |
73 |
|
25.03.2020 |
901 |
84 |
|
26.03.2020 |
1 051 |
113 |
|
27.03.2020 |
1 221 |
156 |
|
28.03.2020 |
1 389 |
218 |
|
29.03.2020 |
1 638 |
311 |
|
30.03.2020 |
1 862 |
418 |
|
31.03.2020 |
2 055 |
480 |
|
01.04.2020 |
2 311 |
549 |
|
02.04.2020 |
2 554 |
794 |
|
03.04.2020 |
2 946 |
804 |
|
04.04.2020 |
3 383 |
987 |
|
05.04.2020 |
3 627 |
1 096 |
|
06.04.2020 |
4 102 |
1 251 |
|
07.04.2020 |
4 413 |
1 319 |
|
08.04.2020 |
4 848 |
1 462 |
|
09.04.2020 |
5 205 |
1 668 |
|
10.04.2020 |
5 575 |
1 892 |
|
11.04.2020 |
5 955 |
2 203 |
|
12.04.2020 |
6 356 |
2 511 |
|
13.04.2020 |
6 674 |
2 777 |
|
14.04.2020 |
6 934 |
3 102 |
|
15.04.2020 |
7 202 |
3 372 |
|
16.04.2020 |
7 582 |
4 161 |
|
17.04.2020 |
7 918 |
4 462 |
|
18.04.2020 |
8 379 |
5 106 |
|
19.04.2020 |
8 742 |
5 449 |
|
20.04.2020 |
9 287 |
5 710 |
|
21.04.2020 |
9 593 |
6 125 |
|
22.04.2020 |
9 856 |
6 592 |
|
23.04.2020 |
10 169 |
7 170 |

Маємо дві відмінності у динаміці зростання кількості випадків у наших країнах:
- Перша — в Польщі на 9 днів раніше почався сплеск захворюваності. Можна припустити, що на таку кількість днів і буде затримка.
- Друга — графік для України має більш різке зростання, що обумовлено тим, що у нас протягом значного часу було мало випадків зараження.
Звідси і були сформульовані дві гіпотези: позитивний і негативний сценарії.
Розрахунок за оптимістичним сценарієм
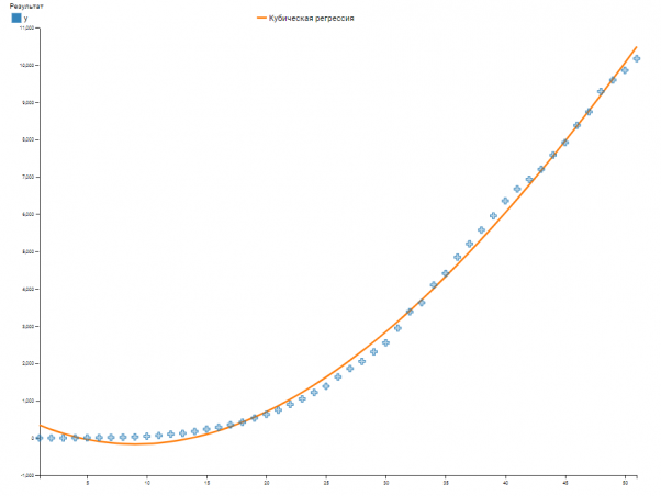
Минулого разу найбільш стабільною показала себе кубічна регресія (лінійна теж зарекомендувала себе досить добре, проте на довгих дистанціях вона справляється гірше).
Ось що нам дає кубічна регресія для Польщі (плюсик на графіку наведені реальні значення).


Як ми бачимо середня помилка апроксимації є високою. Тому, як і в минулий раз, є доцільним розбити криву на декілька ділянок і окремо для кожної знайти функцію апроксимації.
Відкинемо перші n значень (візьмемо n рівне 16, так як на графіку видно, що з n = 17 регресія досить чітко описує реальний стан справ). Тим самим ми розбиваємо наш графік на 2 частини. Перша нас не цікавить в даній задачі, а для другої ми використовуємо складене вище рівняння.
У цьому випадку значення похибки апроксимації дорівнює 6,41% для кількості значень n > 16, що повністю нас влаштовує. Екстраполюємо нашу модель на наступний 21 день і отримаємо такі значення:
|
Дата |
Польща: факт |
Польща: прогноз |
|
04.03.2020 |
1 |
1 |
|
05.03.2020 |
1 |
1 |
|
06.03.2020 |
1 |
1 |
|
07.03.2020 |
5 |
5 |
|
08.03.2020 |
6 |
6 |
|
09.03.2020 |
11 |
11 |
|
10.03.2020 |
17 |
17 |
|
11.03.2020 |
22 |
22 |
|
12.03.2020 |
31 |
31 |
|
13.03.2020 |
49 |
49 |
|
14.03.2020 |
68 |
68 |
|
15.03.2020 |
104 |
104 |
|
16.03.2020 |
125 |
125 |
|
17.03.2020 |
177 |
177 |
|
18.03.2020 |
238 |
238 |
|
19.03.2020 |
287 |
287 |
|
20.03.2020 |
355 |
304 |
|
21.03.2020 |
425 |
425 |
|
22.03.2020 |
536 |
560 |
|
23.03.2020 |
634 |
707 |
|
24.03.2020 |
749 |
868 |
|
25.03.2020 |
901 |
1 041 |
|
26.03.2020 |
1 051 |
1 226 |
|
27.03.2020 |
1 221 |
1 423 |
|
28.03.2020 |
1 389 |
1 632 |
|
29.03.2020 |
1 638 |
1 853 |
|
30.03.2020 |
1 862 |
2 085 |
|
31.03.2020 |
2 055 |
2 328 |
|
01.04.2020 |
2 311 |
2 582 |
|
02.04.2020 |
2 554 |
2 847 |
|
03.04.2020 |
2 946 |
3 123 |
|
04.04.2020 |
3 383 |
3 409 |
|
05.04.2020 |
3 627 |
3 704 |
|
06.04.2020 |
4 102 |
4 010 |
|
07.04.2020 |
4 413 |
4 325 |
|
08.04.2020 |
4 848 |
4 650 |
|
09.04.2020 |
5 205 |
4 983 |
|
10.04.2020 |
5 575 |
5 326 |
|
11.04.2020 |
5 955 |
5 677 |
|
12.04.2020 |
6 356 |
6 037 |
|
13.04.2020 |
6 674 |
6 404 |
|
14.04.2020 |
6 934 |
6 780 |
|
15.04.2020 |
7 202 |
7 164 |
|
16.04.2020 |
7 582 |
7 555 |
|
17.04.2020 |
7 918 |
7 954 |
|
18.04.2020 |
8 379 |
8 359 |
|
19.04.2020 |
8 742 |
8 771 |
|
20.04.2020 |
9 287 |
9 190 |
|
21.04.2020 |
9 593 |
9 616 |
|
22.04.2020 |
9 856 |
10 047 |
|
23.04.2020 |
10 169 |
10 485 |
|
24.04.2020 |
10 928 |
|
|
25.04.2020 |
11 377 |
|
|
26.04.2020 |
11 831 |
|
|
27.04.2020 |
12 289 |
|
|
28.04.2020 |
12 753 |
|
|
29.04.2020 |
13 221 |
|
|
30.04.2020 |
13 694 |
|
|
01.05.2020 |
14 171 |
|
|
02.05.2020 |
14 651 |
|
|
03.05.2020 |
15 136 |
|
|
04.05.2020 |
15 623 |
|
|
05.05.2020 |
16 114 |
|
|
06.05.2020 |
16 608 |
|
|
07.05.2020 |
17 105 |
|
|
08.05.2020 |
17 604 |
|
|
09.05.2020 |
18 105 |
|
|
10.05.2020 |
18 609 |
|
|
11.05.2020 |
19 114 |
|
|
12.05.2020 |
19 621 |
|
|
13.05.2020 |
20 129 |
|
|
14.05.2020 |
20 639 |

Порівняємо динаміку збільшення захворюваності в Україні і Польщі. Проведемо суміщення даних для України і Польщі у таблиці, для Польщі візьмемо період, починаючи з 7 березня, а для України — з 16 березня.
|
Дата |
Польща |
Дата |
Україна |
|
07.03.2020 |
5 |
16.03.2020 |
3 |
|
08.03.2020 |
6 |
17.03.2020 |
5 |
|
09.03.2020 |
11 |
18.03.2020 |
14 |
|
10.03.2020 |
17 |
19.03.2020 |
19 |
|
11.03.2020 |
22 |
20.03.2020 |
26 |
|
12.03.2020 |
31 |
21.03.2020 |
26 |
|
13.03.2020 |
49 |
22.03.2020 |
41 |
|
14.03.2020 |
68 |
23.03.2020 |
47 |
|
15.03.2020 |
104 |
24.03.2020 |
73 |
|
16.03.2020 |
125 |
25.03.2020 |
84 |
|
17.03.2020 |
177 |
26.03.2020 |
113 |
|
18.03.2020 |
238 |
27.03.2020 |
156 |
|
19.03.2020 |
287 |
28.03.2020 |
218 |
|
20.03.2020 |
355 |
29.03.2020 |
311 |
|
21.03.2020 |
425 |
30.03.2020 |
418 |
|
22.03.2020 |
536 |
31.03.2020 |
480 |
|
23.03.2020 |
634 |
01.04.2020 |
549 |
|
24.03.2020 |
749 |
02.04.2020 |
794 |
|
25.03.2020 |
901 |
03.04.2020 |
804 |
|
26.03.2020 |
1 051 |
04.04.2020 |
987 |
|
27.03.2020 |
1 221 |
05.04.2020 |
1 096 |
|
28.03.2020 |
1 389 |
06.04.2020 |
1 251 |
|
29.03.2020 |
1 638 |
07.04.2020 |
1 319 |
|
30.03.2020 |
1 862 |
08.04.2020 |
1 462 |
|
31.03.2020 |
2 055 |
09.04.2020 |
1 668 |
|
01.04.2020 |
2 311 |
10.04.2020 |
1 892 |
|
02.04.2020 |
2 554 |
11.04.2020 |
2 203 |
|
03.04.2020 |
2 946 |
12.04.2020 |
2 511 |
|
04.04.2020 |
3 383 |
13.04.2020 |
2 777 |
|
05.04.2020 |
3 627 |
14.04.2020 |
3 102 |
|
06.04.2020 |
4 102 |
15.04.2020 |
3 372 |
|
07.04.2020 |
4 413 |
16.04.2020 |
4 161 |
|
08.04.2020 |
4 848 |
17.04.2020 |
4 462 |
|
09.04.2020 |
5 205 |
18.04.2020 |
5 106 |
|
10.04.2020 |
5 575 |
19.04.2020 |
5 449 |
|
11.04.2020 |
5 955 |
20.04.2020 |
5 710 |
|
12.04.2020 |
6 356 |
21.04.2020 |
6 125 |
|
13.04.2020 |
6 674 |
22.04.2020 |
6 592 |
|
14.04.2020 |
6 934 |
23.04.2020 |
7 170 |
На основі аналізу даних з вищенаведеної таблиці, ми можемо стверджувати, що тенденції в Україні та Польщі дуже схожі, наші країни мають подібну динаміку збільшення захворюваності. Тому для того, щоб отримати прогноз для Україні, змістимо реальні і прогнозні значення отримані для Польщі на 9 днів назад.
|
Дата |
Польща: факт і прогноз |
Україна: позитивний сценарій |
|
04.03.2020 |
1 |
1 |
|
05.03.2020 |
1 |
1 |
|
06.03.2020 |
1 |
1 |
|
07.03.2020 |
5 |
1 |
|
08.03.2020 |
6 |
1 |
|
09.03.2020 |
11 |
1 |
|
10.03.2020 |
17 |
1 |
|
11.03.2020 |
22 |
1 |
|
12.03.2020 |
31 |
1 |
|
13.03.2020 |
49 |
3 |
|
14.03.2020 |
68 |
3 |
|
15.03.2020 |
104 |
3 |
|
16.03.2020 |
125 |
3 |
|
17.03.2020 |
177 |
5 |
|
18.03.2020 |
238 |
14 |
|
19.03.2020 |
287 |
19 |
|
20.03.2020 |
355 |
26 |
|
21.03.2020 |
425 |
26 |
|
22.03.2020 |
536 |
41 |
|
23.03.2020 |
634 |
47 |
|
24.03.2020 |
749 |
73 |
|
25.03.2020 |
901 |
84 |
|
26.03.2020 |
1 051 |
113 |
|
27.03.2020 |
1 221 |
156 |
|
28.03.2020 |
1 389 |
218 |
|
29.03.2020 |
1 638 |
311 |
|
30.03.2020 |
1 862 |
418 |
|
31.03.2020 |
2 055 |
480 |
|
01.04.2020 |
2 311 |
549 |
|
02.04.2020 |
2 554 |
794 |
|
03.04.2020 |
2 946 |
804 |
|
04.04.2020 |
3 383 |
987 |
|
05.04.2020 |
3 627 |
1 096 |
|
06.04.2020 |
4 102 |
1 251 |
|
07.04.2020 |
4 413 |
1 319 |
|
08.04.2020 |
4 848 |
1 462 |
|
09.04.2020 |
5 205 |
1 668 |
|
10.04.2020 |
5 575 |
1 892 |
|
11.04.2020 |
5 955 |
2 203 |
|
12.04.2020 |
6 356 |
2 511 |
|
13.04.2020 |
6 674 |
2 777 |
|
14.04.2020 |
6 934 |
3 102 |
|
15.04.2020 |
7 202 |
3 372 |
|
16.04.2020 |
7 582 |
4 161 |
|
17.04.2020 |
7 918 |
4 462 |
|
18.04.2020 |
8 379 |
5 106 |
|
19.04.2020 |
8 742 |
5 449 |
|
20.04.2020 |
9 287 |
5 710 |
|
21.04.2020 |
9 593 |
6 125 |
|
22.04.2020 |
9 856 |
6 592 |
|
23.04.2020 |
10 169 |
7 170 |
|
24.04.2020 |
10 928 |
7 202 |
|
25.04.2020 |
11 377 |
7 582 |
|
26.04.2020 |
11 831 |
7 918 |
|
27.04.2020 |
12 289 |
8 379 |
|
28.04.2020 |
12 753 |
8 742 |
|
29.04.2020 |
13 221 |
9 287 |
|
30.04.2020 |
13 694 |
9 593 |
|
01.05.2020 |
14 171 |
9 856 |
|
02.05.2020 |
14 651 |
10 169 |
|
03.05.2020 |
15 136 |
10 928 |
|
04.05.2020 |
15 623 |
11 377 |
|
05.05.2020 |
16 114 |
11 831 |
|
06.05.2020 |
16 608 |
12 289 |
|
07.05.2020 |
17 105 |
12 753 |
|
08.05.2020 |
17 604 |
13 221 |
|
09.05.2020 |
18 105 |
13 694 |
|
10.05.2020 |
18 609 |
14 171 |
|
11.05.2020 |
19 114 |
14 651 |
|
12.05.2020 |
19 621 |
15 136 |
|
13.05.2020 |
20 129 |
15 623 |
|
14.05.2020 |
20 639 |
16 114 |

Розрахунок за песимістичним сценарієм
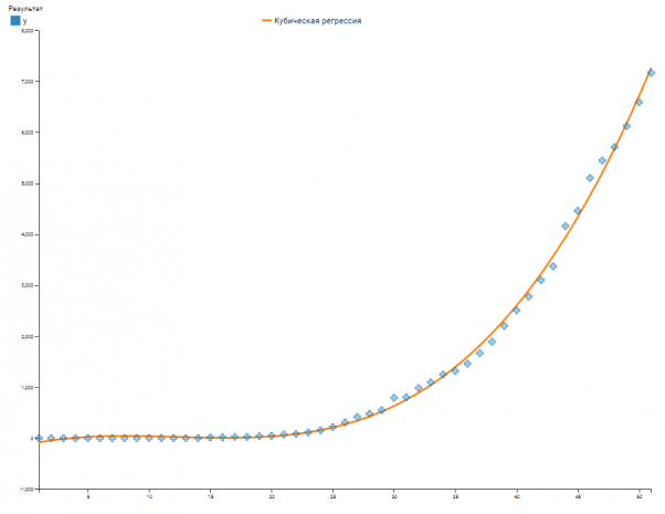
Для розрахунку негативного сценарію будемо вважати, що в Україні як і в Польщі на початку була схожа тенденція, проте потім Україна пішла своїм шляхом, який трохи відрізняється від польського (це підтверджується графіками по обом країнам, які показують актуальну інформацію по захворюваності на сьогоднішній день — у України більш крутий графік).
Для цього ми підібрали кубічну регресію для актуальних даних по Україні, а потім як і в ситуації з Польщею, розділили отриманий графік на дві частини і продовжили працювати тільки з тим періодом, який буде відповідати реальним цифрам.


Візьмемо n = 15, середня помилка апроксимації для n> 15 дорівнює 12,40%, що свідчить про адекватність моделі. Екстраполюємо нашу модель на наступний 21 день і отримаємо значення для України (для Польщі взяли вже розрахований прогноз з позитивного сценарію):
|
Дата |
Польща: факт і прогноз |
Україна: негативний сценарій |
|
04.03.2020 |
1 |
1 |
|
05.03.2020 |
1 |
1 |
|
06.03.2020 |
1 |
1 |
|
07.03.2020 |
5 |
1 |
|
08.03.2020 |
6 |
1 |
|
09.03.2020 |
11 |
1 |
|
10.03.2020 |
17 |
1 |
|
11.03.2020 |
22 |
1 |
|
12.03.2020 |
31 |
1 |
|
13.03.2020 |
49 |
3 |
|
14.03.2020 |
68 |
3 |
|
15.03.2020 |
104 |
3 |
|
16.03.2020 |
125 |
3 |
|
17.03.2020 |
177 |
5 |
|
18.03.2020 |
238 |
14 |
|
19.03.2020 |
287 |
19 |
|
20.03.2020 |
355 |
26 |
|
21.03.2020 |
425 |
26 |
|
22.03.2020 |
536 |
41 |
|
23.03.2020 |
634 |
47 |
|
24.03.2020 |
749 |
73 |
|
25.03.2020 |
901 |
84 |
|
26.03.2020 |
1 051 |
113 |
|
27.03.2020 |
1 221 |
156 |
|
28.03.2020 |
1 389 |
218 |
|
29.03.2020 |
1 638 |
311 |
|
30.03.2020 |
1 862 |
418 |
|
31.03.2020 |
2 055 |
480 |
|
01.04.2020 |
2 311 |
549 |
|
02.04.2020 |
2 554 |
794 |
|
03.04.2020 |
2 946 |
804 |
|
04.04.2020 |
3 383 |
987 |
|
05.04.2020 |
3 627 |
1 096 |
|
06.04.2020 |
4 102 |
1 251 |
|
07.04.2020 |
4 413 |
1 319 |
|
08.04.2020 |
4 848 |
1 462 |
|
09.04.2020 |
5 205 |
1 668 |
|
10.04.2020 |
5 575 |
1 892 |
|
11.04.2020 |
5 955 |
2 203 |
|
12.04.2020 |
6 356 |
2 511 |
|
13.04.2020 |
6 674 |
2 777 |
|
14.04.2020 |
6 934 |
3 102 |
|
15.04.2020 |
7 202 |
3 372 |
|
16.04.2020 |
7 582 |
4 161 |
|
17.04.2020 |
7 918 |
4 462 |
|
18.04.2020 |
8 379 |
5 106 |
|
19.04.2020 |
8 742 |
5 449 |
|
20.04.2020 |
9 287 |
5 710 |
|
21.04.2020 |
9 593 |
6 125 |
|
22.04.2020 |
9 856 |
6 592 |
|
23.04.2020 |
10 169 |
7 170 |
|
24.04.2020 |
10 928 |
7 859 |
|
25.04.2020 |
11 377 |
8 478 |
|
26.04.2020 |
11 831 |
9 129 |
|
27.04.2020 |
12 289 |
9 812 |
|
28.04.2020 |
12 753 |
10 528 |
|
29.04.2020 |
13 221 |
11 279 |
|
30.04.2020 |
13 694 |
12 063 |
|
01.05.2020 |
14 171 |
12 883 |
|
02.05.2020 |
14 651 |
13 739 |
|
03.05.2020 |
15 136 |
14 632 |
|
04.05.2020 |
15 623 |
15 563 |
|
05.05.2020 |
16 114 |
16 532 |
|
06.05.2020 |
16 608 |
17 540 |
|
07.05.2020 |
17 105 |
18 588 |
|
08.05.2020 |
17 604 |
19 677 |
|
09.05.2020 |
18 105 |
20 808 |
|
10.05.2020 |
18 609 |
21 981 |
|
11.05.2020 |
19 114 |
23 196 |
|
12.05.2020 |
19 621 |
24 456 |
|
13.05.2020 |
20 129 |
25 760 |
|
14.05.2020 |
20 639 |
27 110 |

Читайте також:
Слідкуйте за новинами Вінниці у Telegram.
-
Ирина ЛапчевскаяСколько же можно пугать, дайте нормально жить и берите пример с Белоруссии: там нет никакой паники и батько Лукашенко на своём месте, народу не даёт пасть духом- работают и живут полноценной жизнью,а у нас- сколько заболеет, сколько умрёт, а сколько скоро от голоду подохнет! Потеряли стыд и совесть, чтобы так издеваться над народом!!!
ОБА НА reply Ирина Лапчевская
-
Lyubov LoveА у меня врос почему этот вирус некосит наркоманов и алкашей,все как тусовались так и тусуются,самого утра наблюдаю эти картины,почему?у них имунитет неужели сильнее? -
Lyubov LoveА у меня врос почему этот вирус некосит наркоманов и алкашей,все как тусовались так и тусуются,самого утра наблюдаю эти картины,почему?у них имунитет неужели сильнее? -
Tetyana TanyaНі один митник не захворів...